Pemerintah Kabupaten Karanganyar

Pemerintah Kabupaten Karanganyar

  • Profil
    • Profil Kabupaten Karanganyar
    • Legislatif
    • Daftar Pejabat Pemerintah Kabupaten Karanganyar
    • RLPPD Kabupaten Karanganyar
    • Pariwisata
  • Perangkat Daerah
    • Sekretariat
      • Sekretariat Daerah
      • Sekretariat DPRD
    • Inspektorat
    • Dinas
    • Badan
    • Kecamatan
    • Rumah Sakit Umum Daerah
    • BUMD
    • Kelurahan
  • Berita
  • PPID
  • Layanan Publik
  • Aduan Masyarakat
    • Whistleblowing System
    • Suara Masyarakat
    • Laporgub
    • SP4N Lapor
    • Sapamas
  • Data
    • Satudata Karanganyar
    • Opendata
    • Keuangan Daerah
    • Hibah dan Bantuan Pemerintah
    • Statistik
    • Unduh
Informasi

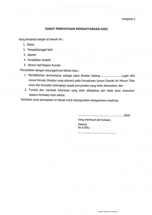
Pengumuman Seleksi Calon Anggota Direksi pada Perusahaan Umum Daerah Air Minum Tirta Lawu Kabupaten Karanganyar Tahun 2020

admin utama2 July 16, 2020

Kategori PengumumanPenanda Kabupaten Karanganyar, Karanganyar Tahun, Lawu, Minum

  • Telepon Penting
  • RSUD (0271) 495025, 495118
  • RS Jati Husada (0271) 821910, 821911
  • Penanggulangan Bencana (0271) 495997
  • Hotline 085 2296 14 151
  • Pemadam Kebakaran (0271) 495113
  • Psc. Karanganyar 0812 2620 0202

  • POLRES (0271) 495110
  • PDAM (0271) 495211
  • PLN (0271) 495056
  • TELKOM (0271) 495091
  • Posco PMI Kra. 0813 2572 9080

© DISKOMINFO Kabupaten Karanganyar
PRchecker.info